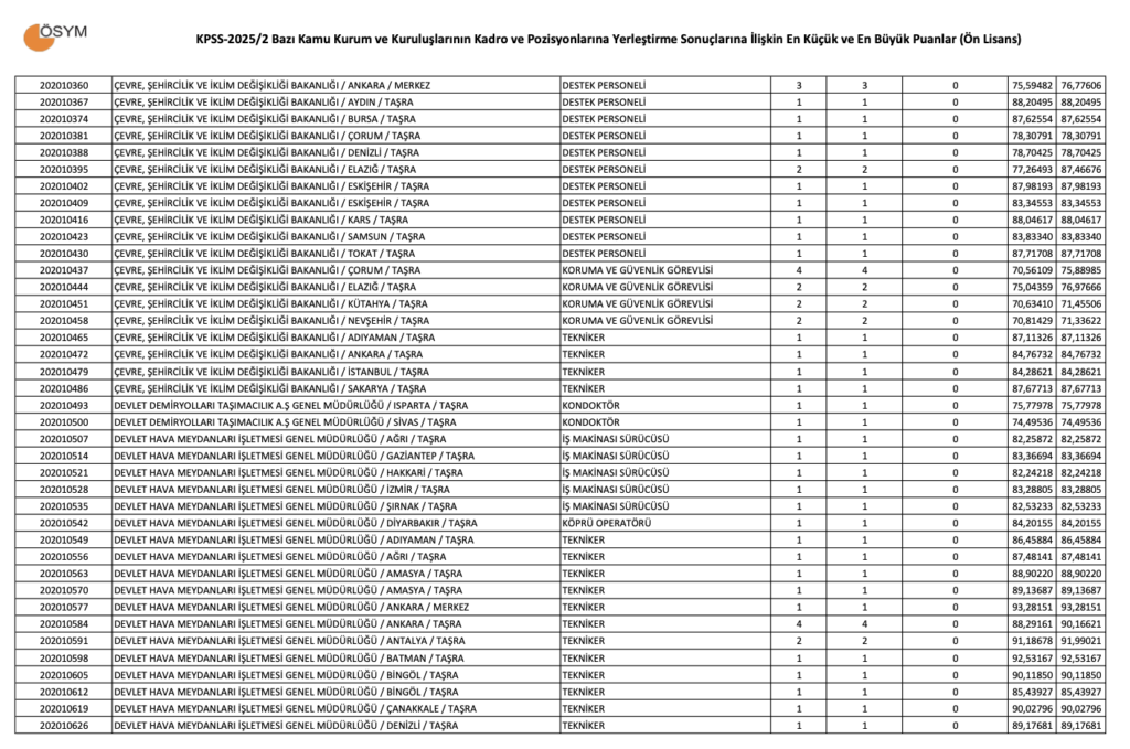
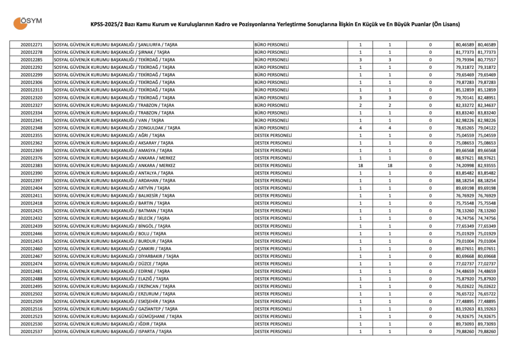
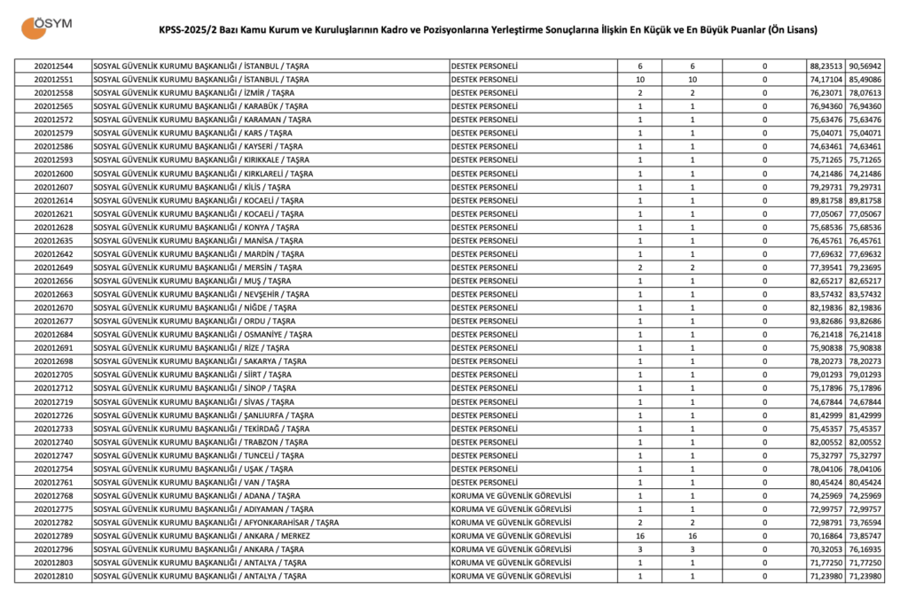
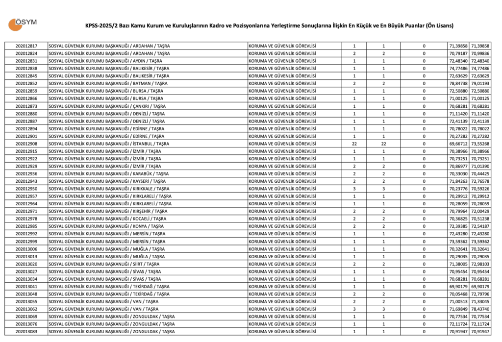
KPSS 2025/2 Ön Lisans Taban Puanları.
KPSS 2025/2 yerleştirme sonuçlarının duyurulmasıyla birlikte ön lisans mezunları için oluşan en düşük ve en yüksek puanlar da belli oldu.
KPSS 2025/2 Ön Lisans En Düşük ve En Yüksek Puanlar Açıklandı
ÖSYM tarafından açıklanan sonuçlara göre, 2025/2 merkezi atamalarında ön lisans düzeyinden yapılan yerleştirmelerde bazı kadrolar için çok yüksek puanlarla, bazı pozisyonlara ise daha düşük puanlarla yerleştirme yapıldı. Bu durum, tercih edilen kurum ve kadronun nitelik kodlarına göre değişiklik gösterdi.
KPSS 2025/2 Ön Lisans Taban Puanları















