KPSS 2025/2 Ortaöğretim Taban Puanları.
KPSS 2025/2 yerleştirme sonuçlarının açıklanmasıyla birlikte ortaöğretim (lise) mezunları için oluşan en düşük ve en yüksek puanlar da netleşti.
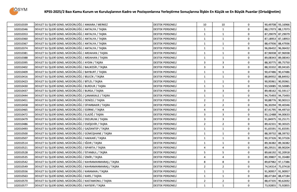
KPSS 2025/2 Ortaöğretim En Düşük ve En Yüksek Puanlar Açıklandı
ÖSYM tarafından açıklanan sonuçlara göre, 2025/2 merkezi atamalarında ortaöğretim düzeyinden yapılan yerleştirmelerde bazı kadrolar için çok yüksek puanlar gerekirken, bazı pozisyonlara daha düşük puanlarla yerleştirme yapıldı. Bu durum, tercih edilen kurum ve kadronun nitelik kodlarına göre değişiklik gösterdi.
KPSS 2025/2 Ortaöğretim Taban Puanları








