MSB 1348 Personel Alımı Sonuçları ve Taban Puanları Açıklandı.
Millî Savunma Bakanlığı 1348 sözleşmeli personel alımı sonuçlarını duyurdu. KPSS taban puanları ve mülakat sürecine ilişkin detaylar erişime açıldı.
Millî Savunma Bakanlığı (MSB) tarafından yürütülen 2025 yılı sözleşmeli personel temini kapsamında gerçekleştirilen 1348 personel alımına ilişkin sonuçlar açıklandı. Adaylar başvuru sonuçlarını e-Devlet üzerinden öğrenebilecek.
KPSS puan üstünlüğüne göre sıralama yapıldı
Ön inceleme sürecinin tamamlanmasının ardından, her unvan için belirlenen kadro sayısının 10 katı aday, ilgili KPSS puan türünde en yüksek puandan başlanarak sıralandı.
Son sıradaki adayla eşit puan alan adaylar da mülakat aşamasına çağrıldı.
Adaylar sonuçlarını e-Devlet sistemine giriş yaptıktan sonra “Tercihlerim” menüsünden görüntüleyebiliyor.
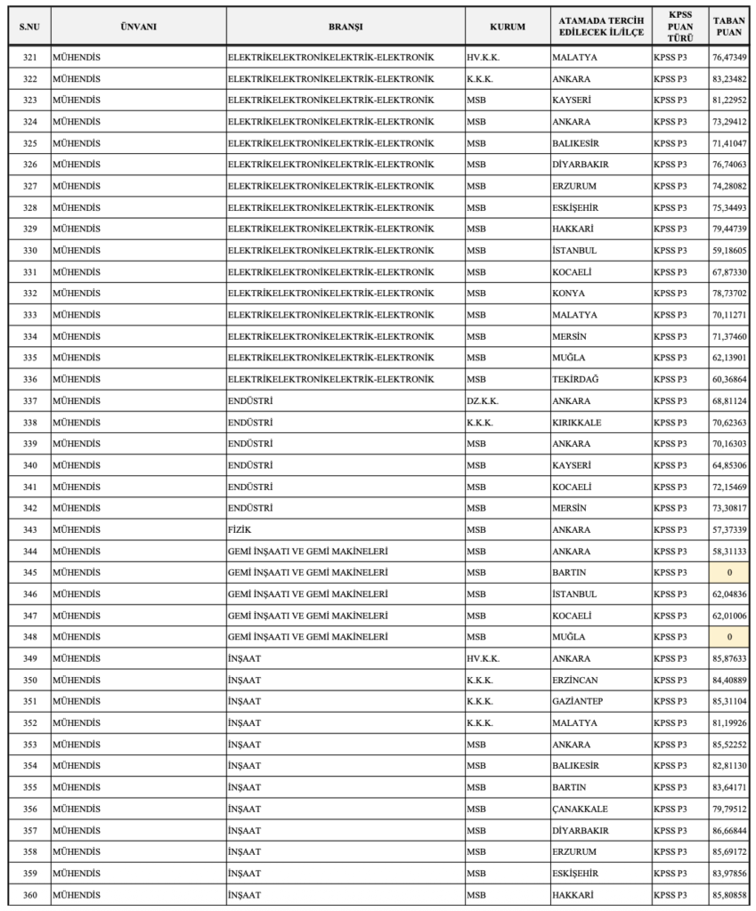
Taban KPSS puanları yayımlandı
MSB tarafından ilan edilen listede, her ünvan için oluşan taban KPSS puanları da yer aldı.















Adaylar, kendi başvurdukları ünvanın taban puanını yayımlanan resmi listeden kontrol edebilecek.
Sırada sınav ücreti ve mülakat süreci var
Çağrı kontenjanına giren adayların, 13 – 22 Şubat 2026 (saat 23:30’a kadar) sınav ücretini yatırmaları gerekiyor.
- Sınav ücreti: 300 TL
- Ödeme kanalı: VakıfBank internet/mobil bankacılık ve ATM
Sınav ücretini yatıran adaylara mülakat tarihi ayrıca bildirilecek.
⚠️ Belirtilen süre içinde ödeme yapmayan adayların başvuruları geçersiz sayılacak.
Süreç devam ediyor
Sonuçların açıklanmasıyla birlikte mülakat süreci resmen başlamış oldu. Adayların, belirtilen tarihlere dikkat etmeleri ve duyuruları düzenli takip etmeleri gerekiyor.
Kamu personel alımları ve MSB duyurularından anında haberdar olmak için Kariyerbankasi.net’i mutlaka takip edin. Ayrıca son dakika personel alım haberlerine ücretsiz erişmek için mobil uygulamayı indirebilirsiniz: TIKLA İNDİR
