2026 EKPSS Lisans Kontenjanları Açıklandı.
2026 EKPSS/Kura tercih kılavuzu ile lisans mezunu adayların tercihleri alınacak. ÖSYM sayfasından yayımlanan duyuruya göre adaylar, tercihlerini 8 Ocak -19 Ocak 2026 tarihleri arasında ÖSYM’nin http://ais.osym.gov.tr/ adresi üzerinden gerçekleştirecek.Başvuru şartları ve kadro dağılımı haberimizde.
1. GENEL BİLGİLER, TEMEL İLKE VE KURALLAR
1.1 Engelli Kamu Personel Seçme Sınavı ve Engellilerin Devlet Memurluğuna Alınmaları Hakkında Yönetmelik ile buna bağlı olarak Aile ve Sosyal Hizmetler Bakanlığı, Sağlık Bakanlığı ile Ölçme, Seçme ve Yerleştirme Merkezi Başkanlığı (ÖSYM) arasında yapılan “Protokol” hükümlerine göre ÖSYM tarafından yapılan Engelli Kamu Personeli Seçme Sınavı (EKPSS) sonuçları ve kura usulü ile kamu kurum ve kuruluşlarının boş kadrolarına yerleştirme yapılacaktır. Bu kılavuz, EKPSS sonuçları ve kura usulü ile yapılacak yerleştirmeye ilişkin esasları kapsamaktadır.
1.2 Bu kılavuzda yerleştirme yapılacak kadrolar, bu kadrolar için aranan nitelikler ve kontenjanlar yer almaktadır. Kılavuzda yer alan kadrolara yerleştirme, ÖSYM tarafından merkezi olarak yapılacaktır.
1.3 Adayların, bu kılavuzda yer alan kadroları tercih edebilmeleri için, 2022-EKPSS veya 2024-EKPSS’ye girmiş ya da 2022-Kura veya 2024-Kura ile yerleştirme için başvuru yapmış olması gerekmektedir.
1.4 Yerleştirme işlemlerinde, ortaöğretim düzeyi kadrolar için EKPSSP1 puanı, ön lisans düzeyi kadrolar için EKPSSP2 puanı, lisans düzeyi kadrolar için EKPSSP3 puanı kullanılacaktır. İlköğretim/ortaokul/ilkokul düzeyi kadrolar için 657 sayılı Devlet Memurları Kanunu’nun 41 inci maddesinde öngörülen hükümle çerçevesinde tercihlere göre kura usulü ile yerleştirme yapılacaktır.
1.5 İlgili Yönetmelik hükümleri çerçevesinde EKPSS ve kura sonucuna göre herhangi bir kadroya yerleştirilen adaylar daha sonra yapılacak yerleştirmelere geçerliliği devam eden aynı eğitim düzeyine ait EKPSS puanı veya kura kaydıyla başvuru yapamazlar. Yönetmeliğin bu hükmü doğrultusunda; EKPSS sonucuna göre herhangi bir kadroya yerleştirilen adaylar, yerleştiği eğitim düzeyine ait mevcut EKPSS puanlarıyla; kura ile herhangi bir kadroya yerleştirilen adaylar ise mevcut kura kayıtlarıyla yerleştirme işlemine alınmaz.
2022-EKPSS veya 2024-EKPSS puanı veya 2022-Kura veya 2024-Kura kaydıyla herhangi bir kadroya yerleştirilen adaylar; atamaları yapılsın ya da yapılmasın, yerleştirme işleminde kullanılan puan/kura kaydıyla tercih yapamazlar.
2023 veya 2024-EKPSS yerleştirme işlemlerinde 2022-EKPSS’ye girdiği eğitim düzeyinde herhangi bir kadroya yerleştirilen adaylar; atamaları yapılsın ya da yapılmasın, 2022-EKPSS puanıyla bu yerleştirme işlemi için tercih yapamazlar.
2023 veya 2024-Kura sonucuna göre yapılan yerleştirme işlemlerinde yerleştirilen adaylar; atamaları yapılsın ya da yapılmasın, 2022-Kura kaydıyla bu yerleştirme işlemi için tercih yapamazlar. 2022-EKPSS veya 2024-EKPSS puanıyla 2025 yerleştirme işlemlerinde herhangi bir kadroya yerleştirilen adaylar; atamaları yapılsın ya da yapılmasın, yerleştiği eğitim düzeyine ait 2022-EKPSS veya 2024-EKPSS puanıyla bu yerleştirme işlemi için tercih yapamazlar.
2022-Kura veya 2024-Kura kaydıyla 2025 yerleştirme işlemlerinde herhangi bir kadroya yerleştirilen adaylar; atamaları yapılsın ya da yapılmasın, 2022-Kura veya 2024-Kura kaydıyla bu yerleştirme işlemi için tercih yapamazlar.
1.6 Halen memur statüsünde çalışan adayların tercih işlemine başvurmaları halinde; 2.3 Başvuru Özel Şartları bölümünde yer alan 11 inci maddeyi dikkatle okumaları gerekmektedir.
1.7 Aynı öğrenim düzeyinde birden fazla diplomaya sahip adaylar, aynı anda tüm diplomalarında yazan program/alanlarına (sistemde kayıtlı bilgileri doğrultusunda) yönelik tercih yapabileceklerdir.
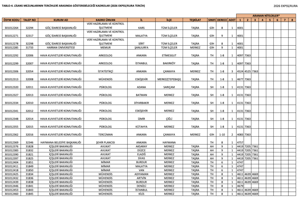
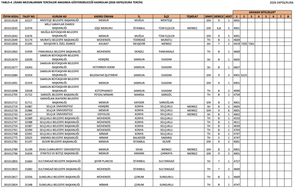
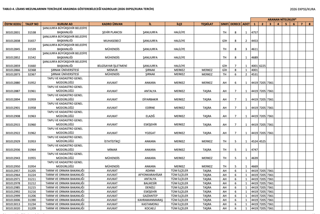
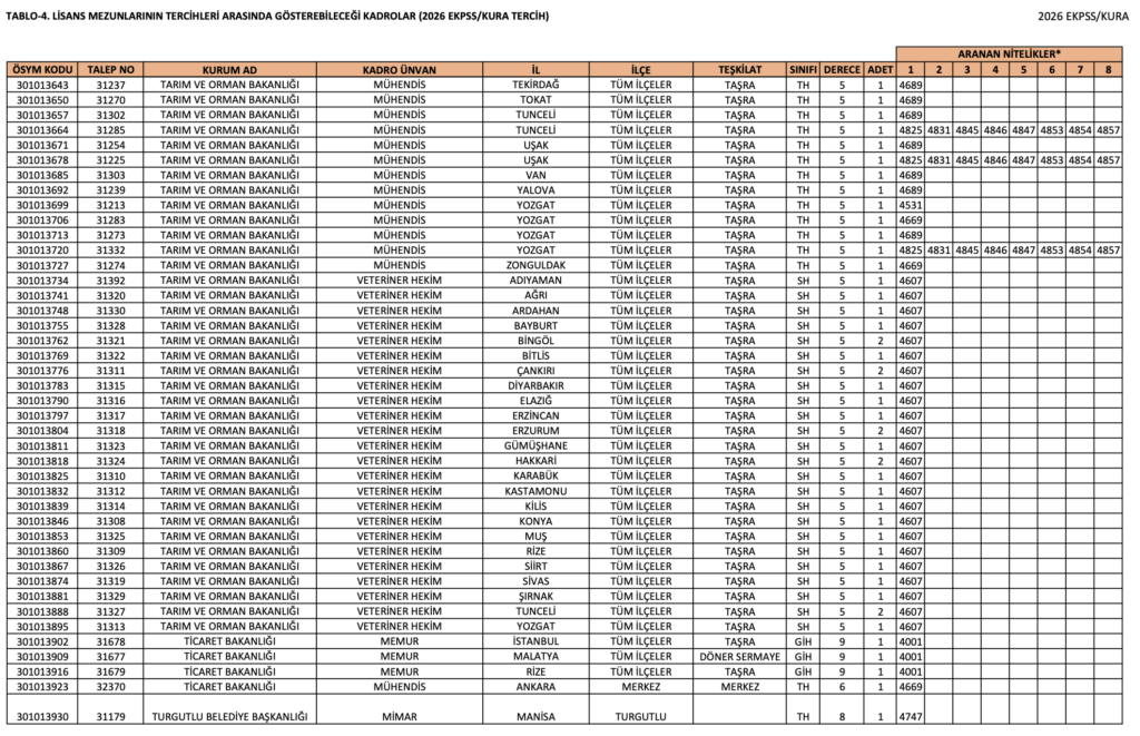
2026 EKPSS Lisans Kontenjanları
2026 EKPSS/Kura ile lisans mezunlarından bilgisayar işletmeni, memur, veri hazırlama ve kontrol işletmeni, mühendis, avukat, kütüphaneci, mimar, veznedar, programcı, anbar memuru, istatistikçi, imam-hatip, şehir plancısı, kuran kursu öğreticisi, müezzin-kayyım, psikolog, eğitmen, muhasebeci, sosyal çalışmacı, sosyolog, arkeolog, tercüman, veteriner hekim, gişe memuru, peyzaj mimarı, hemşire, odyolog, grafiker ve tahsildar ünvanlarında memur alınacak.

















Başvuru Tarihleri ve Yeri
Başvuru yapmak isteyen adaylar, ÖSYM’nin tercih sisteminden (https://ais.osym.gov.tr) başvurularını 8 Ocak -19 Ocak 2026 tarihleri arasında gerçekleştirebilirler.
Lisans Mezunları İçin Nitelik Kodları
Özel Koşullar
